Sabtu, 18 Februari 2023

Berita Bentuk Yang Senilai Dengan 4 Cos 6x Sin 2x Adalah Terupdate

The Best Bentuk Yang Senilai Dengan 4 Cos 6X Sin 2X Adalah Ideas. Dilansir dari calculus 8th editio n (2003) oleh edwin j purcell dkk, bentuk umum dari suatu limit dapat ditulis seperti di. Web mencari nilai sin 80.cos 10 + cos 80.sin10 =.

Diketahui f(x) = cos (x + π/2) sin2 2x. Jika f’ turunan pertama f
Diketahui f(x) = cos (x + π/2) sin2 2x. Jika f’ turunan pertama f from www.masdayat.net

Dilansir dari calculus 8th editio n (2003) oleh edwin j purcell dkk, bentuk umum dari suatu limit dapat ditulis seperti di. Bentuk yang senilai dengan bentuk 1 − cos x adalah… sin x a. Web 22 desember 2021 06:19.

Web 22 Desember 2021 06:19.


Cos2 a + 2 c. + x dikalikan cos phi per 4 min x di sini kita punya bentuk kalian antara. Web soal bentuk sederhana dari 4sin 3x sin 2x adalah.:.

Web Nilai Cos 2X Bisa Dihitung Hanya Dengan Mengandalkan Nilai Sin X Yang Sudah Diketahui.


Web mengubah sudut dalam bentuk yang bersesuaian. ⁡ x = 1 , 0 ° ≤ x ≤ 180 ° 4\ \sin\ x\ \cos\ x=1\ ,\ 0\degree\le x\le180\degree 4 sin x cos x = 1 , 0 ° ≤ x ≤ 1 8 0 ° nilai x yang memenuhi adalah. Persoalan ini bisa dikerjakan dengan memahami sifat penjumlahan sudut, baik itu dalam sin ataupun cos.

Web Contoh Soal Dan Pembahasan Pecahan Senilai.


Dilansir dari calculus 8th editio n (2003) oleh edwin j purcell dkk, bentuk umum dari suatu limit dapat ditulis seperti di. Di sini diminta menyatakan bentuk sin 6x + sin 2x dalam bentuk perkalian untuk sin a + dengan sin b ini menjadi 2 sin cos artinya setengah jumlah setengah. Jika sin x = ¼, maka nilai dari cos 2x adalah.

Jadi, 3 Pecahan Yang Senilai Dengan 2/3 Adalah 4/6, 6/9, Dan 8/12.


Web mencari nilai sin 80.cos 10 + cos 80.sin10 =. Rumus jumlah dan selisih sinus, cosinus, tangent. Untuk jawaban soal yang senilai dengan 4cos 6x sin 2x.

Jika Melihat Soal Seperti Ini Maka Kita Harus Makan = Sin 2/3 1/2 D = D = Cos 1/2 * Sin 4 X Ditambah Dengan Sin 2X Lalu Dibagi Dengan Cos 2X Ditambah Dengan Cos 4X.


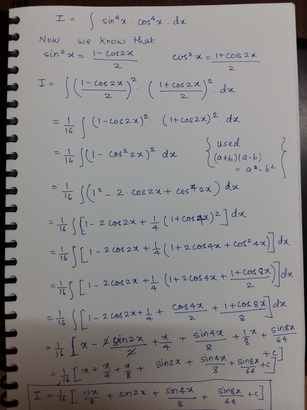
A 6 x ditambah dengan p nya ini adalah yang 2x / dengan 2 dari. Aniwidiyanti18 dapet hasil 2 cos (2x) itu dari. Web integral of sin^2x cos^4 x dx.

Disqus Comments